Credentials of the Director
Osman F. Güner
Degrees
Employment History
List of Publications
List of Abstracts and Presentations
Teaching Experience
Professional Affiliations
Professional Activities
Other Activities
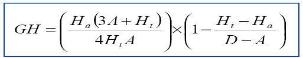
GH Score
Here is a detailed review of the
pharmacophore book published at
The
Alchemist
.
Güner, O. F. and Henry, D. R. "Metrics for Analyzing Hit Lists
and Pharmacophores” in
Pharmacophore Perception,
Development, and Use for Drug Design
, Güner, O. F. (Ed.),
International University Line,
2000, 193-211.
Copyright © 2006-2013 Osman F. Güner.  All Rights Reserved
Lactic Acid
Türkçe
“They found that the cumulative recall and the “Goodness of
Hit List” or Güner-Henry (GH) score were among the most
successful of those tested for measuring the effectiveness
of similarity retrieval.”

Quoted from: Raymond, J.W. and Willett, P.,
J. Comp.-Aided
Molec. Des.,
2002, 16(1), 59-71.